El 3 de diciembre cobran los empleados públicos de la provincia: de cuánto serán los sueldos
El salario correspondiente al mes de noviembre lo recibirán el 2 de diciembre los pasivos y el 3 los activos.

Los salarios de los empleados públicos provinciales correspondientes al decimoprimero mes del año serán abonados la primera semana de diciembre tanto los activos como los pasivos.
En el mes de agosto, el Gobierno provincial, estableció un aumento salarial para los empleados públicos del Escalafón General mediante el decreto 6895. Se trata de un incremento del 15% la primera mitad se aplicó en los sueldos de septiembre y la segunda en octubre. Esos mismos montos se mantendrán para noviembre.

Este martes, además, el gobernador Leandro Zdero informó el cronograma de pagos del mes. El pago de los haberes comenzará el 2 de diciembre para el sector pasivo, con los sueldos disponibles a partir de las 21 horas, permitiendo el retiro a través de cajeros automáticos.
Por otro lado, los sueldos correspondientes al sector activo serán acreditados el 3 de diciembre, también a partir de las 21 horas, para su retiro por cajeros automáticos.
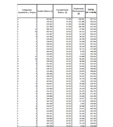
LOS SALARIOS
En el siguiente documento se detalla los montos del sueldo básico, sumado al complemento básico y suplemento remunerativo.
